Recurring Deposit (RD) Calculator
Use our calculator to see exactly how small monthly contributions grow into a significant lump sum over time.
Yearly Breakdown
| Year | Investment | Interest | Balance |
|---|
What is a recurring deposit?
A Recurring Deposit (RD) is a unique financial product offered by banks and post offices that helps people with a regular income save a fixed amount every month. Unlike a Fixed Deposit (FD) where you invest a large sum at once, an RD allows you to build your wealth gradually. You earn a fixed rate of interest on your monthly deposits, which compounds over the tenure of the deposit.
Eligibility criteria for opening an RD account
Most people can start an RD account with very few restrictions:
Individuals: Any resident Indian individual, including minors (with a guardian).
Joint Accounts: Two or more adults can open a joint RD account.
HUFs and Organisations: Hindu Undivided Families and various corporate or primary institutions are also eligible.
Monthly Minimum: You can typically start an RD with as little as ₹100 per month.
Benefits of the recurring deposit scheme
Disciplined Savings: It forces a monthly savings habit, which is perfect for salaried professionals.
Guaranteed Returns: Since the interest rate is locked in at the start, you know exactly what you will receive at maturity.
Flexible Tenures: You can choose a period ranging from 6 months to 10 years.
Higher Interest for Seniors: Most banks offer an additional 0.50% interest rate to senior citizens.
Liquidity: Most RDs allow you to take a loan or an overdraft against the balance (usually up to 90%).
How to invest in a recurring deposit
Investing in an RD is one of the simplest financial moves you can make. You decide on a monthly amount and a tenure, and the bank does the rest.
Documents required to open an RD account:
Investing in an RD is one of the simplest financial moves you can make. You decide on a monthly amount and a tenure, and the bank does the rest.
Identity Proof: Aadhaar Card, PAN Card, Passport, or Driving License.
Address Proof: Utility bills or Ration card.
Photographs: Passport-sized photos of the applicant.
Bank Details: Your existing savings account details (for automated monthly transfers).
How to invest in a recurring deposit
You can set up an RD in minutes using several different methods.
How to open an RD account offline
Visit your bank: Head to the branch where you hold a savings account.
Fill the RD form: Provide the monthly amount and the duration you prefer.
Link your account: The bank will link your savings account for the monthly “standing instruction” (automatic debit).
How to open an RD account online
This is the fastest method:
Log in: Access your mobile banking app or internet banking portal.
Select ‘Investments’: Look for the ‘Deposit’ or ‘Recurring Deposit’ section.
Enter details: Input the amount, tenure, and the debit account.
Confirm: The RD account is created instantly, and an e-receipt is generated.
Recurring deposit interest rates
Interest rates vary between 5% and 7.5% depending on the bank and the tenure. Generally, mid-term RDs (3 to 5 years) offer the highest rates.
Tax benefits and rules (TDS)
Unlike the SSY, RDs are not tax-free.
TDS: If the interest earned on your RD exceeds ₹40,000 in a financial year (₹50,000 for senior citizens), the bank will deduct 10% TDS.
Income Tax: The interest is added to your total income and taxed according to your specific tax bracket.
Recurring deposit withdrawal rules
The goal of an RD is to reach the “maturity date.”
Maturity Withdrawal: Once the tenure ends, the total principal and interest are credited back to your linked savings account automatically.
Premature Withdrawal: You can close the RD before the term ends, but banks usually charge a penalty (typically 0.5% to 1%) on the interest rate.
Let our calculator do the heavy lifting
You are a genius in your own skill sets. Whether you are a creative designer or a skilled technician, you shouldn’t have to struggle with compounding interest tables.
Why calculate manually when you can use our RD calculator?
Calculating RD maturity is tricky because each monthly instalment earns interest for a different amount of time. The first instalment earns interest for 12 months, the second for 11 months, and so on.
Our calculator handles these “micro-calculations” instantly. You get:
Precision: No human error in complex compounding.
Speed: Compare different tenures in seconds.
Clarity: See exactly how much interest you are earning on your hard-earned money.
How to use our calculator?
Monthly Deposit: Enter the amount you want to save each month.
Interest Rate: Input the rate offered by your bank.
Tenure: Select the number of months or years you plan to save.
Instant Result: See your total investment, total interest, and the final maturity value immediately.
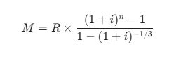
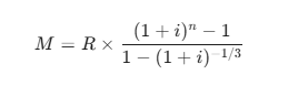
The manual formula
For those who want to see the logic, the formula for RD maturity is:


(Where M = Maturity, R = Monthly instalment, n = number of quarters, and i = Interest rate/400)
Faqs
Can I change the monthly deposit amount later?
No, once an RD is started, the monthly amount remains fixed for the entire tenure.
What happens if I miss a monthly payment?
Most banks allow a small grace period, but if you consistently miss payments, the bank may charge a penalty or close the account.
Is there a limit on how many RDs I can open?
No, you can open as many RD accounts as you like.