Sukanya Samriddhi Yojana Calculator
Use our calculator to see exactly how your savings grow into a tax-free corpus for your daughter’s education and dreams. Stop guessing your final returns and let our calculator do the heavy lifting. Map out your 21-year investment journey and see how much tax you save along the way.
Yearly Breakdown
| Year | Age | Investment | Interest | Balance |
|---|
What is Sukanya Samriddhi Yojana?
Sukanya Samriddhi Yojana (SSY) is a government-backed small savings scheme launched under the “Beti Bachao, Beti Padhao” initiative. It helps parents build a dedicated financial corpus for their daughter’s higher education and marriage. Because the Government of India supports it, your investment is safe, carries no market risk, and offers one of the highest interest rates among fixed-income schemes.
Eligibility criteria for Sukanya Samriddhi Yojana
To open an account, you must meet these straightforward requirements:
The Beneficiary: The account must be in the name of a girl child who is a resident Indian.
Age Limit: You must open the account before the girl child turns 10 years old.
The Guardian: Only a parent or legal guardian can open and operate the account on behalf of the minor.
Account Limit: A family can open a maximum of two accounts (one for each daughter).
Special Cases: You can open a third account if you have triplets in the first birth or twins in the second birth (supported by an affidavit).
Benefits of Sukanya Samriddhi Yojana Scheme
High Returns: It consistently offers higher interest rates compared to PPF or standard Fixed Deposits.
Compounding Growth: The annual compounding feature ensures your small monthly or yearly contributions grow into a substantial sum over 21 years.
Sovereign Guarantee: As a government scheme, your principal and interest are 100% guaranteed.
Transferability: You can shift the account to any part of India if you relocate, whether it’s between post offices or authorised banks.
Low Entry Point: You can start with as little as ₹250 per year, making it accessible for every household.
How to Invest in Sukanya Samriddhi Yojana (SSY)
Investing is simple. You must deposit a minimum of ₹250 and a maximum of ₹1.5 lakh per financial year. You only need to make deposits for the first 15 years, while the account continues to earn interest until it matures at 21 years.
Documents required to open a SSY account are:
Before heading to the bank or post office, gather these essentials:
Birth Certificate: The official birth certificate of the girl child.
Guardian’s Identity Proof: Aadhaar Card, PAN Card, Voter ID, or Passport.
Address Proof: Utility bills, Ration card, or Driving License of the guardian.
Photographs: Recent passport-sized photos of both the girl child and the guardian.
How to Apply for Sukanya Samriddhi Yojana
You have two main routes to get started. While the actual “opening” happens through physical verification, many banks now provide digital shortcuts.
How to Open SSY Account Offline
Visit the Branch: Go to your nearest Post Office or any authorised commercial bank (like SBI, PNB, or ICICI).
Fill the Form: Ask for the SSY Account Opening Form (Form SSA-1).
Submit Documents: Attach the self-attested copies of the documents mentioned above.
Initial Deposit: Pay the first deposit (minimum ₹250) via cash, cheque, or demand draft.
Collect Passbook: Once processed, the bank provides a passbook to track your contributions and interest.
How to Open SSY Account Offline
Currently, the Indian government does not allow a completely paperless online opening for SSY due to physical document verification rules. However, if you already have an internet banking account with an authorised bank, you can:
Log in to your bank’s net banking portal.
Navigate to the ‘Social Security Schemes’ or ‘SSY’ section.
Fill in the digital application form.
Print the pre-filled form and visit the branch once to submit the physical documents and complete the KYC.
Sukanya Samriddhi Yojana Interest Rates
The government reviews and announces the interest rate every quarter. For the current period (January – March 2026), the interest rate is 8.2% per annum.
Sukanya Samriddhi Yojana (SSY) Interest Rates: Previous Rates
The scheme has historically offered very competitive returns:
2024 – 2025: 8.2%
2023 – 2024: 8.0% to 8.2%
2020 – 2022: 7.6%
2019 – 2020: 8.4%
Tax Benefits of Sukanya Samriddhi Yojana (SSY)
SSY enjoys the prestigious EEE (Exempt-Exempt-Exempt) tax status:
Exempt on Investment: Contributions up to ₹1.5 lakh are deductible under Section 80C.
Exempt on Interest: The annual interest you earn is completely tax-free.
Exempt on Maturity: The final lump sum you receive after 21 years attracts zero tax.
Sukanya Samriddhi Yojana Withdrawal Rules
The scheme encourages long-term saving, so withdrawals are restricted:
Partial Withdrawal: You can withdraw up to 50% of the balance (from the preceding year) once the girl child turns 18 or passes Class 10. This must be used for higher education.
Full Withdrawal: The account matures after 21 years from the date of opening.
Rules for Premature Withdrawal from SSY Account
Premature closure is only allowed in extreme circumstances:
Marriage: If the girl child is over 18 and getting married (apply 1 month before or 3 months after the wedding).
Hardship: In cases of life-threatening diseases of the account holder or the death of the guardian.
Change of Residency: If the girl child becomes an NRI or a citizen of another country.
Let our calculator do the heavy lifting
You are a genius in your own skill sets—whether you are a creator, a doctor, or an engineer. You don’t need to be a “maths whiz” to plan your daughter’s future. Why wrestle with compound interest formulas when our SSY Calculator provides the answer in seconds?
Why use our SSY Calculator?
Instant Accuracy: It calculates the exact maturity value based on the current 8.2% rate.
Goal Planning: See how much you need to save monthly to reach a specific target (e.g., ₹50 lakh for medical school).
Visual Growth: It shows you exactly how much of your final wealth is your investment versus the “bonus” interest earned.
How to use our calculator
Enter Annual Deposit: Type in how much you plan to save each year (e.g., ₹50,000).
Enter Age of Girl Child: This helps the calculator determine the remaining tenure.
Select Start Year: Input the year you opened or plan to open the account.
View Results: The calculator instantly shows your total investment, total interest, and the final maturity amount.
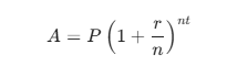
The Manual Formula (If you want to check the maths)
If you do want to see the “engine” behind the calculator, SSY uses the compound interest formula:


A: Maturity Amount
P: Annual Deposit
r: Rate of Interest (e.g., 0.082 for 8.2%)
n: Number of times interest compounds per year (1 for SSY)
t: Number of years
FAQs
Can I open an SSY account for my niece?
No, only the biological parents or legal guardians can open the account.
What happens if I forget to deposit the minimum ₹250?
The account becomes ‘discontinued’. You can reactivate it by paying a small penalty of ₹50 for each year you missed, along with the minimum deposit amount.
Is there a loan facility against SSY?
Unlike a PPF account, you cannot take a loan against a Sukanya Samriddhi account.
Will I get interest after 21 years if I don't close the account?
No, the account stops earning interest once it reaches the 21-year maturity mark.